
Self-proclaimed fitness “gurus” and phony influencers won’t tell you the truth — I’m about to.
They’ll sell you on "miracle methods" that don’t make a dent in your body fat — detox teas, shady supplements, and the latest fad diet.
Those gimmicks might nudge the scale for a few weeks or months, but the results never last.
In short, these charlatans are teaching you to major in the minors.
If you want lasting results, you need to major in the majors — and do it with relentless regularity.
That isn’t flashy. It won’t go viral. But it works.
Why "Permanent" Weight Loss Feels Impossible — But Isn't.
Let’s be clear — easy fat loss is a myth.
I recently read an article quoting an obesity expert who said, “The best way to overcome obesity is to not become obese in the first place.”
True — but useless if you’re already in the battle.
The body absolutely resists staying lean, yet “difficult” doesn’t mean “impossible.” Even on The Biggest Loser, where nearly every contestant regained, one participant (Erinn) — defied the odds.

She started at 237 lbs, wasn’t chosen for the show, but followed the same plan on her own.
Within seven months she lost 50 lbs, and she eventually dropped a total of 117 — before settling into a more sustainable weight loss of about 100 pounds below her baseline by the 6-year follow-up!1
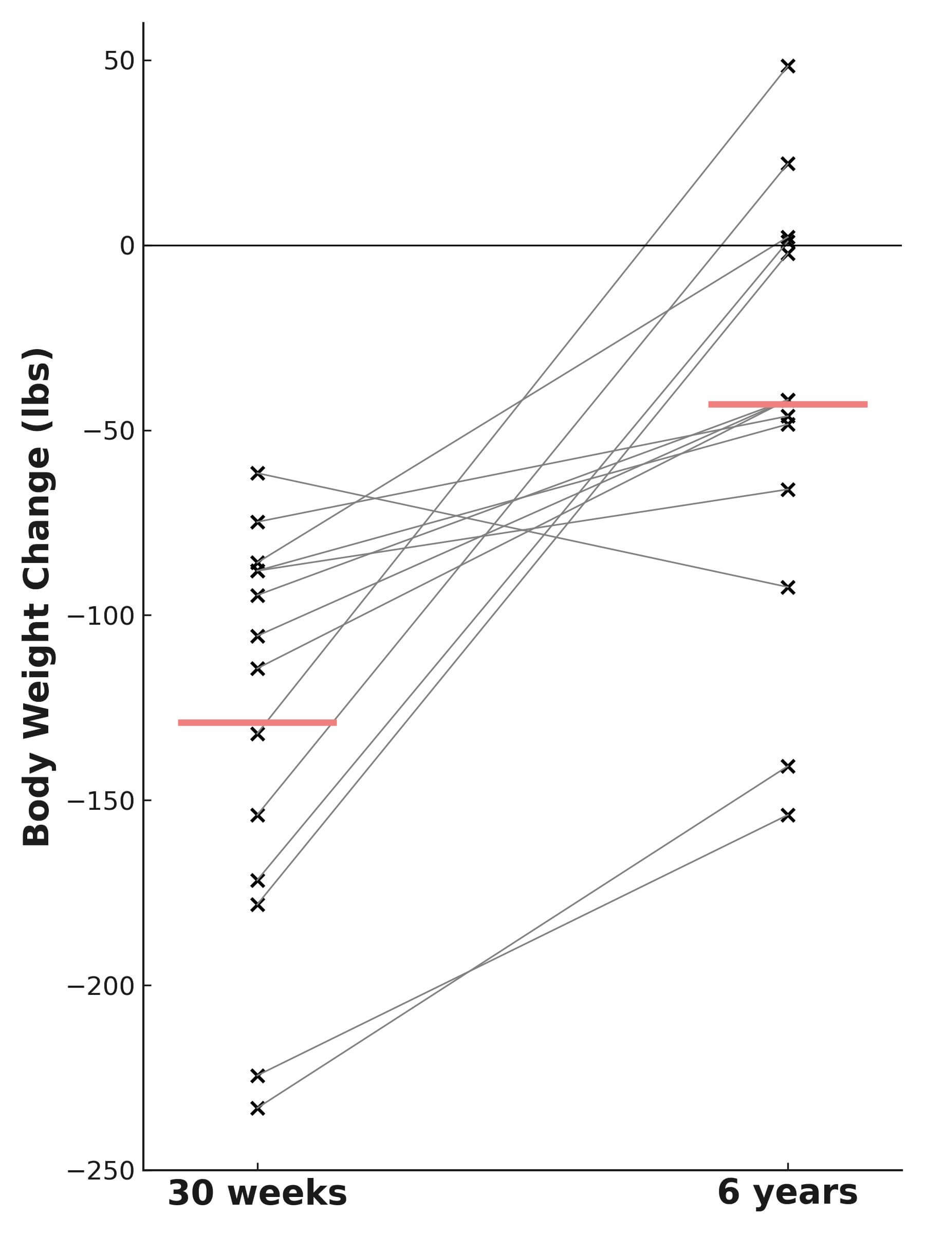
The figure below shows how each contestant’s weight changed between the 30-week (7-month) finale and the 6-year follow-up. Gray lines represent individual weight-change trajectories between the two time points, while the two red lines show the group’s average weight change relative to baseline at 30 weeks and again at six years.2
Everyone but Erinn’s line angles upward from left to right, reflecting weight regain. Only Erinn's slopes downward — showing she weighed less at the 6-year follow-up than she did at the end of the show.
Graph from The Biggest Loser study showing body weight changes from the 30-week finale to the six-year follow-up, with Erinn Egbert as the only participant who continued losing weight while others regained. [Modified from: https://pubmed.ncbi.nlm.nih.gov/27136388/]What the graph doesn't show is how dramatically Erinn's — and the rest of the contestants' — metabolic rates adapted along the way.2
Her resting metabolic rate fell 552 calories per day — a metabolic free-fall that stops most people — but she pushed through and kept getting results anyway with:1
- Two trainers
- Six 90-minute boot-camps per week
- Protein-pacing (protein-rich meals every ~2 hours)
While others regained, she kept losing. She’s living proof that consistent behaviors can overpower biological pushback.
In one of her interviews1, she was asked whether she thinks it’s possible for others to do what she did. She stated:
“There is hope. It’s a constant battle. But you have to fight for it every single day.”
— Erinn Egbert, The Biggest Loser Season 8
Of course, her approach was far more intense than what most people can — or should — sustain long-term. Nevertheless, she found a routine that worked for her — and she rocked it.
Persistence beats perfection. The winners aren’t the ones who never slip—they’re the ones who never stop returning to their routines.
Why The Body Fights Back
When you start losing fat, your body interprets it as an energy threat. To protect against continued depletion, it fights back — slowing metabolism and overall energy expenditure, while increasing hunger.2-4
Appetite varies by genetics and environment, but behaviors like regular exercise, higher-protein diets, and fiber-rich foods — when sustained over time — can help regulate those signals, improving satiety and reducing calorie intake.6-11
Erinn’s pattern — exercise, protein, regular meals — restrained some of her weight-loss related decline in overall daily calorie burning from metabolic adaptation while quieting her body’s “eat more” alarm.
These habits aligned her calorie intake with her output, preventing regain.
Unfortunately, the homeostatic mechanisms driving weight regain do not appear to reset with prolonged maintenance of lost weight.2,5
Therefore, you have to consistently resist your body’s compulsion to overeat and its effort to conserve calories as long as you remain in a weight-reduced state. If you’re lighter than you once were, you’ve got your work cut out for you to keep the weight off.
Erinn is an anomaly — an outlier. Yet in my experience coaching clients, I’ve found that many of the same habits she followed can help relieve the relentless urge to eat that most people face when trying to maintain reduced weight.
Success Leaves Clues
The National Weight Control Registry (NWCR) tracks adults who’ve already achieved significant weight loss — at least 30 pounds kept off for a year or more — to uncover what long-term maintainers actually do to stay successful.12,13
Since its launch in 1994, the NWCR has enrolled more than 10,000 participants, making it the largest study of its kind. On average, participant has lost about 73 pounds and maintained more than 30 pounds of that loss for at least five years.12
In relative terms, that means the average NWCR member has maintained roughly 40 percent of their original weight loss — far better than the ~30 percent average maintained by the Biggest Loser contestants at six years.
Additionally, about 13% of NWCR participants have maintained their weight loss (≥30 pounds off) for more than 10 years, with nearly nine in ten still keeping at least 10% of their original weight off at the 10-year mark.13
Thirteen percent may sound small, but the real question is: what are those people doing differently to win their battle with the bulge?
Now, here’s what the NWCR12,13 — and other supporting studies14-16 — consistently show.
Their habits aren’t extreme or complicated — they’re simple, consistent, and proven to work.
The 10 Keys to Lasting Weight Loss
Key 1: Weigh Yourself Daily
Regular self-monitoring increases awareness and helps catch small regains before they snowball. Successful maintainers typically step on the scale 5–7 times per week.
Regular self-monitoring increases awareness and helps catch small regains before they snowball. Successful maintainers typically step on the scale 5–7 times per week.
Key 2: Move About an Hour Every Day
Most maintainers average ~60 minutes of moderate-to-vigorous physical activity daily. Exercise protects muscle, preserves metabolic rate, and curbs appetite.
Most maintainers average ~60 minutes of moderate-to-vigorous physical activity daily. Exercise protects muscle, preserves metabolic rate, and curbs appetite.
Key 3: Follow a Low-Calorie, Lower-Fat Diet
NWCR members consume ~1,800 calories with 25% fat. High-protein, high-fiber meals maintain satiety while keeping energy balance in check.
NWCR members consume ~1,800 calories with 25% fat. High-protein, high-fiber meals maintain satiety while keeping energy balance in check.
Key 4: Never Skip Breakfast
Breakfast eaters show better dietary control, lower impulsive snacking, and steadier energy throughout the day.
Breakfast eaters show better dietary control, lower impulsive snacking, and steadier energy throughout the day.
Key 5: Stay Consistent on Weekends
“Weekend drift” undoes weekday discipline. Maintaining similar meal times and portions seven days a week stabilizes metabolism and habits.
“Weekend drift” undoes weekday discipline. Maintaining similar meal times and portions seven days a week stabilizes metabolism and habits.
Key 6: Track Calories and Portions
Journaling or app-based tracking keeps you honest. Awareness of intake correlates strongly with long-term maintenance.
Journaling or app-based tracking keeps you honest. Awareness of intake correlates strongly with long-term maintenance.
Key 7: Cook More Meals at Home
Home-prepared meals mean fewer calories, more micronutrients, and precise portion control.
Home-prepared meals mean fewer calories, more micronutrients, and precise portion control.
Key 8: Eat Smaller, More Frequent Meals
Four-to-six structured meals (or mini-meals) reduce hunger spikes and help maintain lean mass — mirroring the “protein-pacing” strategy used by The Biggest Loser Erinn.
Four-to-six structured meals (or mini-meals) reduce hunger spikes and help maintain lean mass — mirroring the “protein-pacing” strategy used by The Biggest Loser Erinn.
Key 9: Limit Screen Time
Less TV = less mindless snacking. NWCR participants average <10 hours per week of TV viewing — half the national average.
Less TV = less mindless snacking. NWCR participants average <10 hours per week of TV viewing — half the national average.
Key 10: Use Meal Replacements Strategically
Quality shakes and bars provide structure and convenience, making adherence easier during high-stress weeks.
Quality shakes and bars provide structure and convenience, making adherence easier during high-stress weeks.
These 10 behaviors might not grab headlines or sell miracle programs, but they’re the real-world habits that separate temporary success from permanent results.
The takeaway is simple: lasting results come from repeatable habits, not hacks. And if you need proof, look no further than the most comprehensive lifestyle study ever done — the Look AHEAD Trial.
💡 Want weekly no-nonsense insights like this?
Get my free Body by Ry™ Breakdown — short, evidence-based breakdowns that cut through the confusion about weight loss, metabolism, and performance.
Get my free Body by Ry™ Breakdown — short, evidence-based breakdowns that cut through the confusion about weight loss, metabolism, and performance.
No Spam. Unsubscribe anytime.
The Look AHEAD Trial followed 5,145 adults with type 2 diabetes for eight years — making it the most comprehensive lifestyle weight-loss study ever conducted.16
Participants in the Intensive Lifestyle Intervention (ILI) group achieved greater weight loss and better long-term outcomes than any other large-scale clinical trial to date — 27% of all participants in the Intensive Lifestyle Intervention (ILI) group lost and then maintained >10% weight loss for at least 8 years!
Yet there were also some interesting trends among which participants lost and maintained the most weight loss by 8 years.
The figure below summarizes the long-term weight trajectories across three groups based on their first-year results:
- The top graph tracks the long-term weight trends in those who lost ≥10% body weight in the first year.
- The middle graph tracks the long-term weight trends in those who lost 5–9.9% body weight in the first year.
- The bottom graph tracks the long-term weight trends in those who lost <5% body weight in the first year.

In the Look AHEAD Trial (Wing et al., 2013), participants who lost more weight early on were far more likely to maintain meaningful weight loss long-term. [Modified from: https://pubmed.ncbi.nlm.nih.gov/24307184/]
39% of those who lost >15% of their body weight in the first year maintained that level of loss at eight years, and roughly 65% of those who lost >10% in the first year maintained at least a 5% weight loss at eight years.
In contrast, only 15% of those who lost <5% at one year went on to lose more than 10% by year eight, and only 35% achieved at least a 5% loss by year eight.
While genetics might explain part of the difference, post-hoc analysis revealed a bigger truth: the long-term maintainers were simply more consistent — weighing themselves regularly, staying active, and keeping calorie intake in check. In short, they mastered the same key behaviors (shown in the NWCR and other research) that prevent regain.
These findings show that while greater early weight loss predicts better long-term success, consistency remains the real differentiator.
Even among early high achievers, long-term maintenance required simple daily habits — not short-term heroics.
Big results early create momentum — but only daily discipline keeps it.
The same principle holds true in any area of life — long-term success depends less on what plan you follow and more on how you build a lifestyle and identity that make consistency automatic.
Coaching, Connection, and Identity
Certain ancillary aspects of a maintenance program — beyond diet and exercise — can further improve the odds of long-term success.
Studies show that consistent coaching, accountability, and a supportive community dramatically increase adherence over time.15-17
Research identifies several maintenance enhancers that make a measurable difference:
- 1–2 coaching sessions per month (in-person or by phone)
- Group meetings or challenges for accountability
- Ongoing physical-activity tracking
- Regular review of weight and eating data
Those who succeed also adopt a new identity — they stop seeing themselves as “someone trying to lose weight” and start seeing themselves as a lean, healthy, disciplined person.15
Behavior Before Belief
Most people wait to “feel ready” before they act. But the truth is, you change your mind by changing your behavior.
Get up and go.
Control your calorie flow.
The results will show.
Control your calorie flow.
The results will show.
As you act differently, you start to believe differently. And that belief is what keeps you consistent when motivation fades.
When Lifestyle Alone Isn't Enough
Let’s be real: not everyone succeeds with lifestyle changes alone.
Some people face genetic, epigenetic, or hormonal challenges that make fat loss harder14. That’s not failure — it’s physiology.
For some, adjunctive therapies — weight-loss medications or bariatric surgery — can help. I unpack the pros and cons of those options in my book Burned™.
The Bottom Line
Permanent weight loss isn’t magic — it’s mastery of fundamentals performed relentlessly.
Eat real food. Move daily. Track progress. Stay accountable. Shape a new identity around health.
Do that, and you’ll be one of the Biggest Winners instead of one of the Biggest Losers.
Ready to take the next step?
If you’re tired of the noise and ready for clarity that actually works, subscribe to the Body by Ry™ Breakthrough — my no-nonsense newsletter where I uncover what’s really happening inside your body when it comes to metabolism, fat loss, and performance.
Each week you’ll get short, clear insights backed by science (and written in plain English) to help you eat smarter, move better, and feel stronger — for good.
👉 Subscribe to the Body by Ry™ Breakthrough
No spam. Unsubscribe anytime.
This article draws from Chapters 36 and 42 of my book, Burned™ — where I unpack the science, strategy, and real-world stories behind permanent weight loss.
References







